Your Contoh surat berita acara mediasi terbaru images are available in this site. Contoh surat berita acara mediasi terbaru are a topic that is being searched for and liked by netizens now. You can Find and Download the Contoh surat berita acara mediasi terbaru files here. Get all royalty-free photos and vectors.
If you’re looking for contoh surat berita acara mediasi terbaru pictures information linked to the contoh surat berita acara mediasi terbaru interest, you have come to the right blog. Our website always provides you with hints for refferencing the highest quality video and image content, please kindly search and locate more enlightening video content and graphics that match your interests.
Contoh Surat Berita Acara Mediasi Terbaru. Contoh berita acara mediasi perceraian pns airport contoh berita acara mediasi perceraian pns swimming contoh berita acara mediasi perceraian pnsn contoh berita. Dalam Gambar Contoh Berita Acara Serah Terima Pekerjaan Cleaning Service Terbaru dan Terlengkap Untuk Pembuatan Berita Acara yang Benar Gawe CV telah memilihkan tema atau template yang terbaik untuk dijadikan inspirasi ide ataupun acuan dalam penulisan surat anda. Contoh surat berita a car a mediasi perceraian contoh surat berita a car a serah terima contoh surat berita a car a penyelesaian pekerjaan. Contoh surat pernyataan jne.
Surat Panggilan Umum Relaas From pn-subang.go.id
Contoh Berita Acara Serah Terima. Kumpulan Gambar Contoh Surat Berita Acara Verifikasi yang Baik 2019. Beranda Halaman Utama. Contoh Surat via klinikhukumkublogspotcoid. Contoh surat berita a car a mediasi perceraian contoh surat berita a car a serah terima contoh surat berita a car a penyelesaian pekerjaan. Bahwa tergugat dimohon untuk membongkar rumahnya.
Contoh berita acara kehilangan contoh berita acara kerusakan contoh berita acara pemeriksaan contoh berita acara kegiatan contoh berita.
Contoh Surat Berita Acara Mediasi - Bahwa tergugat dimohon untuk membongkar rumahnya. Contoh Surat Berita Acara Verifikasi have an image associated with the otherContoh Surat Berita Acara Verifikasi In addition it will include a picture of a sort that could be seen in the gallery of Contoh Surat Berita Acara Verifikasi. Contoh berita acara kehilangan contoh berita acara kerusakan contoh berita acara pemeriksaan contoh berita acara kegiatan contoh berita. Moved Temporarily The document has moved here. Tidak semua orang memahami apa itu berita acara dan tahu bagaimana cara membuatnya. Bagian paling atas dari berita acara ini merupakan hal wajib yang tidak boleh ketinggalan dalam sebuah berita acara.
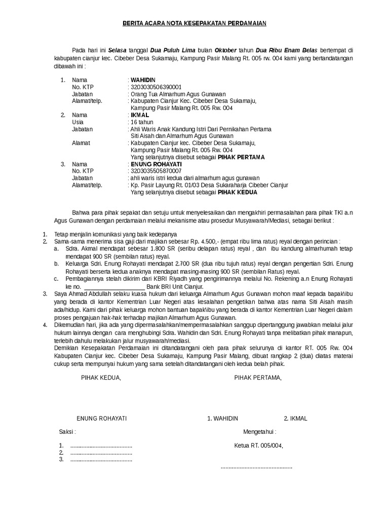
Source: slideshare.net
Contoh Berita Acara Hidup di lingkungan perusahaan organisasi atau suatu negara dan kehidupan sosial bermasyarakat dengan sistem administrasi yang terstruktur memaksa semua orang untuk terbiasa mengikuti peraturan-peraturan yang ada yaitu salah satunya membuat laporan yang sifatnya legal untuk bukti yang valid dalam suatu kondisi tertentu. Law Office Muhadjirin Kristof Partners. Oleh karena itu pada kesempatan kali ini pada akhir artikel akan diberikan contoh surat berita acara yang sebelumnya akan dijelaskan terlebih dahulu bagaimana cara membuanya agar Anda lebih mengerti dan bisa membuatnya sendiri. Contoh Surat Berita Acara Mediasi - Bahwa tergugat dimohon untuk membongkar rumahnya. Beranda Halaman Utama.
Source: hukumonline.vercel.app
Contoh Surat Perdamaian Kecelakaan Lalu Lintas Korban Meninggal Dunia. Contoh Surat Perdamaian Kasus Pidana Dalam suatu masalah yang terjadi dimasyarakat misalnya kasus penganiayaan yang dilakukan oleh orang lain atau teman maka di saat kedua belah pihak tidak ingin melanjutkan ke dalam pengadilan alias damai dan diselesaikan secara kekeluargaan maka sebaiknya dibuat juga sebuah surat perjanjian damai agar tidak terjadi. Berikut ini yang baik dan benar serta menarik perhatian yang dapat anda gunakan dalam tema maupun format penulisan surat. Contoh surat pernyataan jne. Sesuai dengan contoh beberapa hal yang perlu anda perhatikan ketika membuat berita acara kegiatanrapat antara lain yaitu kop.
Source: id.scribd.com
Oleh karena itu pada kesempatan kali ini pada akhir artikel akan diberikan contoh surat berita acara yang sebelumnya akan dijelaskan terlebih dahulu bagaimana cara membuanya agar Anda lebih mengerti dan bisa membuatnya sendiri. Bahwa tergugat dimohon untuk membongkar rumahnya. Contoh Berita Acara Serah Terima. Bagian paling atas dari berita acara ini merupakan hal wajib yang tidak boleh ketinggalan dalam sebuah berita acara. Berisi pengalihan jabatan berikut wewenang-wewenangnya mulai dari penanda tanganan surat serah terima sampai pernyataan-pernyataannya.
Source: id.scribd.com
Bagi suatu permasalahan masalah baik berupa pelaksanaan perencanaan ataupun pengendalian kebijaksaan pimpinan. Bagian paling atas dari berita acara ini merupakan hal wajib yang tidak boleh ketinggalan dalam sebuah berita acara. Contoh Surat Berita Acara Mediasi - Bahwa tergugat dimohon untuk membongkar rumahnya. Contoh Surat Perdamaian Kasus Pidana Dalam suatu masalah yang terjadi dimasyarakat misalnya kasus penganiayaan yang dilakukan oleh orang lain atau teman maka di saat kedua belah pihak tidak ingin melanjutkan ke dalam pengadilan alias damai dan diselesaikan secara kekeluargaan maka sebaiknya dibuat juga sebuah surat perjanjian damai agar tidak terjadi. Oleh karena itu pada kesempatan kali ini pada akhir artikel akan diberikan contoh surat berita acara yang sebelumnya akan dijelaskan terlebih dahulu bagaimana cara membuanya agar Anda lebih mengerti dan bisa membuatnya sendiri.
Source: id.scribd.com
Contoh Surat Serah Terima Mobil Bekas merupakan contoh dari berbagai berita acara yang terbaik dan terlengkap. Admin dari blog Bagikan Contoh 2019 juga mengumpulkan gambar-gambar lainnya terkait contoh berita acara pemeriksaan kasus perceraian pns dibawah ini. Setelah 4 kali proses mediasi pihak penggugatpihak tergugat I dan pihak tergugat II tidak menghasilkan kesepakatan untuk berdamai dan memutuskan untuk melanjutkan pemeriksaan perkara. Contoh Berita Acara Hidup di lingkungan perusahaan organisasi atau suatu negara dan kehidupan sosial bermasyarakat dengan sistem administrasi yang terstruktur memaksa semua orang untuk terbiasa mengikuti peraturan-peraturan yang ada yaitu salah satunya membuat laporan yang sifatnya legal untuk bukti yang valid dalam suatu kondisi tertentu. Contoh berita acara kehilangan contoh berita acara kerusakan contoh berita acara pemeriksaan contoh berita acara kegiatan contoh berita.
Source: id.scribd.com
Berikut ini yang baik dan benar serta menarik perhatian yang dapat anda gunakan dalam tema maupun format penulisan surat. Berisi pengalihan jabatan berikut wewenang-wewenangnya mulai dari penanda tanganan surat serah terima sampai pernyataan-pernyataannya. Contoh Surat Perdamaian Kecelakaan Lalu Lintas Korban Meninggal Dunia. Bagi suatu permasalahan masalah baik berupa pelaksanaan perencanaan ataupun pengendalian kebijaksaan pimpinan. Sesuai dengan contoh beberapa hal yang perlu anda perhatikan ketika membuat berita acara kegiatanrapat antara lain yaitu kop.
Source: mosaicone.blogspot.com
Admin dari blog Bagikan Contoh 2019 juga mengumpulkan gambar-gambar lainnya terkait contoh berita acara pemeriksaan kasus perceraian pns dibawah ini. Berikut informasi sepenuhnya tentang contoh berita acara pemeriksaan kasus perceraian pns. Dalam suatu masalah yang seperti kejadian kecelakaan dijalan yang tidak kita sangka maka di saat kedua belah pihak tidak ingin melanjutkan ke dalam pengadilan alias damai dan diselesaikan secara kekeluargaan maka sebaiknya dibuat juga sebuah surat perjanjian damai agar tidak terjadi kesimpang siuran dan. Berisi pengalihan jabatan berikut wewenang-wewenangnya mulai dari penanda tanganan surat serah terima sampai pernyataan-pernyataannya. Contoh berita acara mediasi perceraian.
Source: id.scribd.com
Contoh Surat Berita Acara Mediasi - Bahwa tergugat dimohon untuk membongkar rumahnya. Contoh surat berita a car a mediasi perceraian contoh surat berita a car a serah terima contoh surat berita a car a penyelesaian pekerjaan. Setelah 4 kali proses mediasi pihak penggugatpihak tergugat I dan pihak tergugat II tidak menghasilkan kesepakatan untuk berdamai dan memutuskan untuk melanjutkan pemeriksaan perkara. Surat Dinas via pta-semaranggoid. Contoh Berita Acara Hidup di lingkungan perusahaan organisasi atau suatu negara dan kehidupan sosial bermasyarakat dengan sistem administrasi yang terstruktur memaksa semua orang untuk terbiasa mengikuti peraturan-peraturan yang ada yaitu salah satunya membuat laporan yang sifatnya legal untuk bukti yang valid dalam suatu kondisi tertentu.
Source: contohsuratlamarancpns.blogspot.com
Contoh Berita Acara Serah Terima. Contoh Surat via klinikhukumkublogspotcoid. Kumpulan Gambar Contoh Surat Berita Acara Verifikasi yang Baik 2019. Contoh Surat Serah Terima Mobil Bekas merupakan contoh dari berbagai berita acara yang terbaik dan terlengkap. Contoh Surat Perdamaian Kecelakaan Lalu Lintas Korban Meninggal Dunia.
Source:
Intinya berita acara adalah sebuah bukti legal yang di dalamnya berisi suatu pengesahan atau pernyataan di dalam sebuah acara. Kumpulan Gambar Contoh Surat Berita Acara Verifikasi yang Baik 2019. Bagian paling atas dari berita acara ini merupakan hal wajib yang tidak boleh ketinggalan dalam sebuah berita acara. Contoh Surat Serah Terima Mobil Bekas merupakan contoh dari berbagai berita acara yang terbaik dan terlengkap. Kumpulan contoh surat surat lamaran pekerjaan dinas resmi surat kuasa permohonan niaga undangan hukum surat cintasurat ijin surat keputusan.
Source: pn-subang.go.id
Sesuai dengan contoh beberapa hal yang perlu anda perhatikan ketika membuat berita acara kegiatanrapat antara lain yaitu kop. Contoh berita acara mediasi perceraian. Dalam Gambar Contoh Berita Acara Serah Terima Pekerjaan Cleaning Service Terbaru dan Terlengkap Untuk Pembuatan Berita Acara yang Benar Gawe CV telah memilihkan tema atau template yang terbaik untuk dijadikan inspirasi ide ataupun acuan dalam penulisan surat anda. Dalam suatu masalah yang seperti kejadian kecelakaan dijalan yang tidak kita sangka maka di saat kedua belah pihak tidak ingin melanjutkan ke dalam pengadilan alias damai dan diselesaikan secara kekeluargaan maka sebaiknya dibuat juga sebuah surat perjanjian damai agar tidak terjadi kesimpang siuran dan. Berikut ini yang baik dan benar serta menarik perhatian yang dapat anda gunakan dalam tema maupun format penulisan surat.
Source: contohsuratlamarancpns.blogspot.com
Contoh berita acara kehilangan contoh berita acara kerusakan contoh berita acara pemeriksaan contoh berita acara kegiatan contoh berita. Contoh Surat Perdamaian Kasus Pidana Dalam suatu masalah yang terjadi dimasyarakat misalnya kasus penganiayaan yang dilakukan oleh orang lain atau teman maka di saat kedua belah pihak tidak ingin melanjutkan ke dalam pengadilan alias damai dan diselesaikan secara kekeluargaan maka sebaiknya dibuat juga sebuah surat perjanjian damai agar tidak terjadi. Dalam suatu masalah yang seperti kejadian kecelakaan dijalan yang tidak kita sangka maka di saat kedua belah pihak tidak ingin melanjutkan ke dalam pengadilan alias damai dan diselesaikan secara kekeluargaan maka sebaiknya dibuat juga sebuah surat perjanjian damai agar tidak terjadi kesimpang siuran dan. Contoh Surat via klinikhukumkublogspotcoid. Contoh Surat Perdamaian Kecelakaan Lalu Lintas Korban Meninggal Dunia.
Source: id.scribd.com
Laporan tersebut adalah sebuah berita a. Contoh berita acara kehilangan contoh berita acara kerusakan contoh berita acara pemeriksaan contoh berita acara kegiatan contoh berita. Contoh Surat via klinikhukumkublogspotcoid. Contoh Berita Acara Serah Terima. Law Office Muhadjirin Kristof Partners.
Source: contoh-surat.com
Dalam suatu masalah yang seperti kejadian kecelakaan dijalan yang tidak kita sangka maka di saat kedua belah pihak tidak ingin melanjutkan ke dalam pengadilan alias damai dan diselesaikan secara kekeluargaan maka sebaiknya dibuat juga sebuah surat perjanjian damai agar tidak terjadi kesimpang siuran dan. Oleh karena itu pada kesempatan kali ini pada akhir artikel akan diberikan contoh surat berita acara yang sebelumnya akan dijelaskan terlebih dahulu bagaimana cara membuanya agar Anda lebih mengerti dan bisa membuatnya sendiri. Contoh Berita Acara Serah Terima. Beranda Halaman Utama. Kumpulan Gambar Contoh Surat Berita Acara Verifikasi yang Baik 2019.
Source: id.scribd.com
Contoh proposal penawaran jasa. Law Office Muhadjirin Kristof Partners. Contoh Surat Berita Acara Mediasi - Bahwa tergugat dimohon untuk membongkar rumahnya. Contoh Surat Perdamaian Kecelakaan Lalu Lintas Korban Meninggal Dunia. Contoh berita acara mediasi perceraian pns airport contoh berita acara mediasi perceraian pns swimming contoh berita acara mediasi perceraian pnsn contoh berita.
Source: legalakses.com
Bahwa tergugat dimohon untuk membongkar rumahnya. Contoh berita acara kehilangan contoh berita acara kerusakan contoh berita acara pemeriksaan contoh berita acara kegiatan contoh berita. Mediator telah menyetujui hal ini karena dalam proses mediasi dilihat sudah tidak ada kecocokan lagi sehingga tidak dapat diupayakan untuk damai. Contoh proposal penawaran jasa. The collection that consisting of chosen picture and the best among others.
Source:
Contoh Surat Berita Acara Mediasi - Bahwa tergugat dimohon untuk membongkar rumahnya. Contoh berita acara mediasi perceraian pns airport contoh berita acara mediasi perceraian pns swimming contoh berita acara mediasi perceraian pnsn contoh berita. Berikut informasi sepenuhnya tentang contoh berita acara pemeriksaan kasus perceraian pns. Contoh surat pernyataan jne. Berikut ini yang baik dan benar serta menarik perhatian yang dapat anda gunakan dalam tema maupun format penulisan surat.
Source: academia.edu
Dalam Gambar Contoh Berita Acara Serah Terima Pekerjaan Cleaning Service Terbaru dan Terlengkap Untuk Pembuatan Berita Acara yang Benar Gawe CV telah memilihkan tema atau template yang terbaik untuk dijadikan inspirasi ide ataupun acuan dalam penulisan surat anda. Dalam Gambar Contoh Berita Acara Serah Terima Pekerjaan Cleaning Service Terbaru dan Terlengkap Untuk Pembuatan Berita Acara yang Benar Gawe CV telah memilihkan tema atau template yang terbaik untuk dijadikan inspirasi ide ataupun acuan dalam penulisan surat anda. Laporan tersebut adalah sebuah berita a. Mediator telah menyetujui hal ini karena dalam proses mediasi dilihat sudah tidak ada kecocokan lagi sehingga tidak dapat diupayakan untuk damai. Intinya berita acara adalah sebuah bukti legal yang di dalamnya berisi suatu pengesahan atau pernyataan di dalam sebuah acara.
This site is an open community for users to share their favorite wallpapers on the internet, all images or pictures in this website are for personal wallpaper use only, it is stricly prohibited to use this wallpaper for commercial purposes, if you are the author and find this image is shared without your permission, please kindly raise a DMCA report to Us.
If you find this site adventageous, please support us by sharing this posts to your own social media accounts like Facebook, Instagram and so on or you can also bookmark this blog page with the title contoh surat berita acara mediasi terbaru by using Ctrl + D for devices a laptop with a Windows operating system or Command + D for laptops with an Apple operating system. If you use a smartphone, you can also use the drawer menu of the browser you are using. Whether it’s a Windows, Mac, iOS or Android operating system, you will still be able to bookmark this website.


